就业信息
超辐射相变是一种在强耦合光-物质相互作用系统中出现的量子相变,其特点是系统基态在临界耦合强度处发生突变,从“正常相”跃迁至“超辐射相”,伴随宏观量子态的出现和对称性自发破缺。然而,在真实的腔量子电动力学系统中,电磁场矢势的平方项(即A2项)会产生“抗磁效应”,使系统的有效势能硬化,从而在理论上抑制甚至禁止相变的发生。这一难题引发了学界数十年的争论,形成了所谓的“不可行定理”,成为实验实现超辐射相变的主要理论障碍。
为了解决这一难题,数理学院固态混合量子器件团队的熊伟副教授联合浙江大学博士后刘刚博士共同提出一种巧妙的混合系统构型:将一个量子比特(如超导量子比特)与一个机械振动模式耦合,构成一个量子拉比模型;同时,该机械模式再通过辐射压力与一个光学腔耦合,形成光力学子系统。通过将光学腔工作在“色散区域”并施加外部驱动,研究人员得以“绝热消除”腔场自由度,从而在有效哈密顿量中不仅保留了标准的量子拉比相互作用,还引入了一个可调控的人工A2项。有趣的是,这个人工A2项可以与系统中固有的A2项相互抵消。通过调节光力学耦合强度或腔场失谐,研究人员可以主动控制抵消效果,甚至实现完全消除,从而恢复系统发生超辐射相变所需的“模式软化”条件。这相当于在理论上“绕过”了不可行定理的限制。
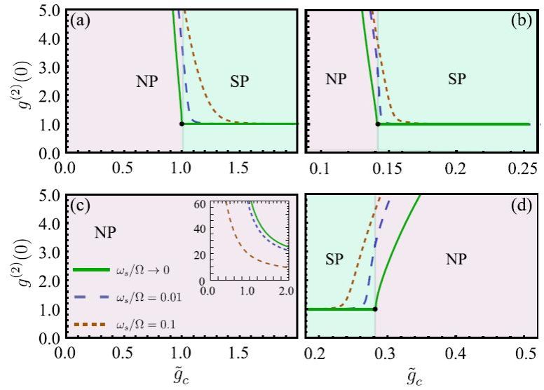
研究进一步揭示,在该系统中,机械模式声子的二阶等时关联函数可作为有效的序参量来表征相变:在正常相中,声子呈现“聚束”统计特性;而在超辐射相中,声子则表现为相干态统计。这一清晰的特征为实验探测提供了直观的物理信号。更引人注目的是,团队发现系统在相变点附近展现出强化的高阶量子压缩效应。与传统的二阶压缩不同,高阶压缩意味着更高阶的量子涨落被压制,这对于超越标准量子极限的精密测量具有重要意义。研究表明,在超辐射相变临界点,系统能实现近乎完美的高阶压缩,这为利用量子相变增强非经典光场制备提供了新思路。
这项工作不仅为解决超辐射相变的理论困境提供了切实可行的方案,也展示了混合量子系统(融合光力学与腔QED)在探索强关联量子现象方面的独特优势。它为未来在固态量子器件中实现可控的量子相变、制备非经典态以及开发新型量子传感器与处理器件奠定了重要理论基础。
该工作以题为“A2-robust superradiant phase transition in hybrid qubit-cavity optomechanics”于2025年12月23日在线发表于物理权威期刊《Physical Review A》,浙江大学刘刚博士为论文第一作者,数理学院熊伟副教授为论文唯一通讯作者。该研究得到了浙江省自然科学基金、浙江省重大研发计划、深圳国际量子研究院及甘肃省青年科技基金等项目的支持。
原文链接:https://journals.aps.org/pra/abstract/10.1103/cf1d-wn4h
中国浙江省温州市茶山高教园区 电话:0577-86598000
中国浙江省温州市学院中路276号 电话:0577-86598000
Copyright © 温州大学 Wenzhou University All Rights Reserved. 浙ICP备07006821号-1 浙公网安备 33030402000759号